In this article, we dive into the top 10 publications that have transformed artificial intelligence and machine learning. We’ll take you through a thorough examination of recent advancements in neural networks and algorithms, shedding light on the key ideas behind modern AI. By highlighting the significant impact of these discoveries on current applications and emerging trends, this article aims to help you understand the dynamics driving the AI revolution.
Let us now look into top 10 machine learning research papers in detail.Z
This research showcases a deep neural network categorizing 1.2 million high-resolution ImageNet photos into 1,000 groups. The network has five convolutional layers, three fully-connected layers, and a 1,000-way softmax classifier. It has 60 million parameters and 650,000 neurons. With top-1 and top-5 error rates on the test set of 37.5% and 17.0%, respectively, it significantly outperformed earlier models.

The network employed non-saturating neurons and a very effective GPU implementation for convolution operations to increase training speed. Moreover, a novel regularization method known as “dropout” was utilized to avoid overfitting in the fully-connected layers. This model version achieved a top-5 error rate of 15.3%, which was significantly better than the second-best entry’s 26.2% mistake rate, and went on to win the ILSVRC-2012 competition.
Training deeper neural networks poses significant challenges. This paper introduces a residual learning framework designed to simplify the training process for networks much deeper than those previously used. Instead of learning unreferenced functions, the framework reformulates layers to learn residual functions based on the inputs from previous layers. The empirical results demonstrate that these residual networks are easier to optimize and benefit from increased depth, achieving higher accuracy.
On the ImageNet dataset, the residual networks were tested with depths of up to 152 layers—eight times deeper than VGG networks—while maintaining lower complexity. An ensemble of these networks reached a 3.57% error rate on the ImageNet test set, securing first place in the ILSVRC 2015 classification challenge. Additionally, experiments on the CIFAR-10 dataset were conducted with networks containing 100 and 1,000 layers.

The ability to represent features at greater depths is crucial for many visual recognition tasks. Due to these exceptionally deep representations, the model achieved a 28% relative improvement on the COCO object detection dataset. The deep residual networks were the foundation of the winning submissions in multiple categories at the ILSVRC and COCO 2015 competitions. These categories included ImageNet detection, ImageNet localization, COCO detection, and COCO segmentation.
Click here to access the paper.
“A Few Useful Things to Know About Machine Learning” by Pedro Domingos explores how machine learning algorithms may learn from data without the need for human instruction. The essay emphasizes how important it is becoming to a number of industries, including web search, spam filtering, and stock trading. Predictive analytics, according to a McKinsey Global Institute report, will spearhead the next innovation wave. Machine learning efforts are slowed down by the fact that many practical abilities are still illusive despite the abundance of textbooks. Domingos offers crucial insights to quicken the creation of applications utilizing machine learning.

Domingos zeroes in on classification, a fundamental and widely used type of machine learning. He explains how classifiers work by processing input data—whether discrete or continuous—to categorize it into predefined classes, such as filtering emails into “spam” or “not spam.” The paper offers practical advice on building classifiers, providing valuable insights for diverse machine learning tasks.
Click here to access the paper.
The paper addresses the issue of internal covariate shift in deep neural networks, where the distribution of inputs to each layer changes as previous layer parameters are updated. This shift complicates training by necessitating lower learning rates and careful parameter initialization. The paper introduces Batch Normalization, which normalizes the inputs to each layer during training, mitigating this shift and enabling faster convergence with higher learning rates and less stringent initialization requirements.

The study shows notable gains in model performance and training efficiency by incorporating Batch Normalization into the model architecture. When applied to a cutting-edge image classification model, batch normalization significantly shortened the training period. On the ImageNet dataset, it achieved a top-5 error rate of 4.82%, surpassing both human-level accuracy and prior benchmarks.
Click here to access the paper.
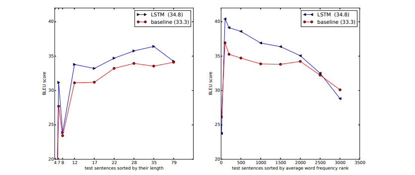
Sutskever, Vinyals, and Le’s (2014) publication “Sequence to Sequence Learning with Neural Networks” presents a novel method for sequence-to-sequence task handling with Deep Neural Networks (DNNs). The technique described in the paper maps input sequences to fixed-dimensional vectors using multilayered Long Short-Term Memory (LSTM) networks, which are then decoded into target sequences. As demonstrated by its outstanding performance on the English-to-French translation dataset from WMT-14, where it achieved a BLEU score of 34.8—surpassing conventional phrase-based systems and approaching the state-of-the-art results—this technique is especially effective in translation tasks.

The paper also highlights how this method overcomes challenges associated with sequence learning, such as handling long sentences and word order dependencies. By introducing innovative techniques like reversing the word order in source sentences, the authors demonstrate significant improvements in translation quality. This research provides a robust framework for sequence-to-sequence learning and sets a new benchmark for performance. It offers valuable insights for developing advanced models in natural language processing.
Click here to access the paper.
The paper “Generative Adversarial Nets” by Ian Goodfellow et al. (2014) introduces a groundbreaking framework for training generative models through adversarial methods. The core idea revolves around a two-player game between a generative model (G) and a discriminative model (D). The generative model aims to produce data samples that are indistinguishable from real data, while the discriminative model tries to differentiate between real samples and those generated by G. This adversarial setup effectively refines G by maximizing the likelihood of D making a mistake, leading to a powerful technique for learning complex data distributions.

The research offers significant insights into training generative models without relying on traditional techniques like Markov chains or approximate inference networks. By employing backpropagation to train both models simultaneously, the approach simplifies the learning process and enhances the quality of generated samples. The paper presents experimental evidence of the framework’s ability to generate high-quality samples. It also outlines its potential applications, marking a significant contribution to machine learning and generative modeling.
Click here to access the paper.
The paper “High-Speed Tracking with Kernelized Correlation Filters” presents a novel approach to improving the efficiency and performance of object tracking algorithms. The research introduces an analytical model that leverages the properties of datasets consisting of translated image patches to optimize tracking. By recognizing that these datasets form a circulant matrix, the authors apply the Discrete Fourier Transform to dramatically reduce both storage requirements and computational complexity. This technique simplifies the tracking process while maintaining high accuracy.

For readers, this paper provides significant advancements in tracking technology by presenting the Kernelized Correlation Filter (KCF), which maintains the computational efficiency of linear methods while incorporating the benefits of kernel methods. Additionally, the paper introduces the Dual Correlation Filter (DCF), an extension of KCF that enhances tracking performance across multiple channels. Both KCF and DCF have demonstrated superior performance compared to leading trackers on a benchmark of 50 videos, offering a practical solution that is both fast and easy to implement. This work enhances tracking efficiency and provides valuable open-source tools, driving further research and development in the field.
Click here to access the paper.
The improved real-time object identification system, YOLO9000, is presented in the publication “YOLO9000: Better, Faster, Stronger”. This version of the YOLO system achieves superior performance metrics, detecting over 9000 item categories, and beats competing methods such as SSD and Faster R-CNN with ResNet. On the VOC 2007 dataset, YOLOv2 showed encouraging results with 76.8 mAP at 67 frames per second, and on COCO, 78.6 mAP at 40 frames per second.

The paper’s core contribution is the joint training method that allows YOLO9000 to be trained on both object detection and classification tasks simultaneously. This approach enables YOLO9000 to make accurate predictions even for object classes with limited detection data, expanding its detection capabilities beyond the standard 200 classes in the COCO dataset. With a reported 19.7 mAP on the ImageNet detection validation set, YOLO9000 proves its capability to handle more than 9000 object categories in real-time, offering a significant advancement in object detection technology. This research offers a faster, versatile, and accurate object detection system for various real-time applications.
Click here to access the paper.
With the creation of the Fast R-CNN approach, object detection has advanced significantly, as reported in the study “Fast R-CNN” by Ross Girshick. This method makes better use of deep convolutional networks, which improves object detection performance. In order to classify object suggestions more quickly and precisely, Fast R-CNN improves on earlier techniques. It uses a number of cutting-edge methods that significantly expedite the testing and training stages. In particular, compared to the original R-CNN, Fast R-CNN assesses test samples 213 times quicker and trains the deep VGG16 network 9 times faster. It also achieves greater accuracy as indicated by mean Average Precision (mAP) on the PASCAL VOC 2012 dataset.

The benefits of Fast R-CNN are significant for both researchers and practitioners in the field of computer vision. By improving the speed of training and inference, and by offering higher accuracy, Fast R-CNN enables more efficient and scalable object detection. The method’s implementation in Python and C++ (using the Caffe framework) and its availability under the open-source MIT License make it accessible for further development and application, promoting continued advancements in object detection technology.
Click here to access the paper.
Using a dataset of 1 million YouTube videos divided into 487 classes, the study “Large-scale Video Classification with Convolutional Neural Networks” assesses the application of CNNs in video classification. For quicker training, the authors suggest a multiresolution, foveated architecture.
The paper details how the best spatio-temporal CNNs outperform strong feature-based baselines, improving performance from 55.3% to 63.9%. However, the improvement over single-frame models is modest, from 59.3% to 60.9%. The paper shows significant performance improvement from 43.9% to 63.3% by retraining top layers on the UCF-101 dataset.

Readers will benefit from this paper by gaining insights into the challenges and potential solutions for video classification using CNNs. The research highlights the importance of spatio-temporal information and offers practical approaches to improve training efficiency and classification accuracy. This work is valuable for those looking to enhance video classification models or apply CNNs to similar large-scale video datasets.
Click here to access the paper.
This collection of groundbreaking research papers offers a comprehensive view of the innovations that have shaped modern machine learning and artificial intelligence. From revolutionary algorithms like Deep Convolutional Neural Networks and Generative Adversarial Networks to cutting-edge techniques in object detection and video classification, these studies highlight the technological advancements driving the AI revolution. Exploring these seminal works provides valuable insights into the methodologies, challenges, and solutions that have advanced the field. This foundation supports future exploration and innovation in AI and machine learning.
A. This paper introduces a deep CNN for image classification that achieves significant performance improvements on the ImageNet dataset. The model features 60 million parameters and uses techniques like dropout regularization.
A. It introduces residual learning, allowing the training of very deep networks by reformulating layers to learn residual functions, leading to easier optimization and higher accuracy.
A. The paper provides essential, often overlooked advice on building and using machine learning classifiers effectively, applicable across various tasks.
A. It normalizes inputs to each layer during training, reducing internal covariate shift, enabling faster convergence, and improving model performance.
A. The paper presents a framework where a generator and discriminator train through a game, resulting in high-quality data generation.
Lorem ipsum dolor sit amet, consectetur adipiscing elit,